| Express- ion | A | B | A || B | A && B | !A | !B | !A || !B | !A && !B |
|---|---|---|---|---|---|---|---|---|
| T | T | T | T | F | F | F | F | |
| T | F | T | F | F | T | T | F | |
| F | T | T | F | T | F | T | F | |
| F | F | F | F | T | T | T | T | |
| Same as | ! (!A && !B) | ! (!A || !B) | !(A && B) | ! (A || B) |
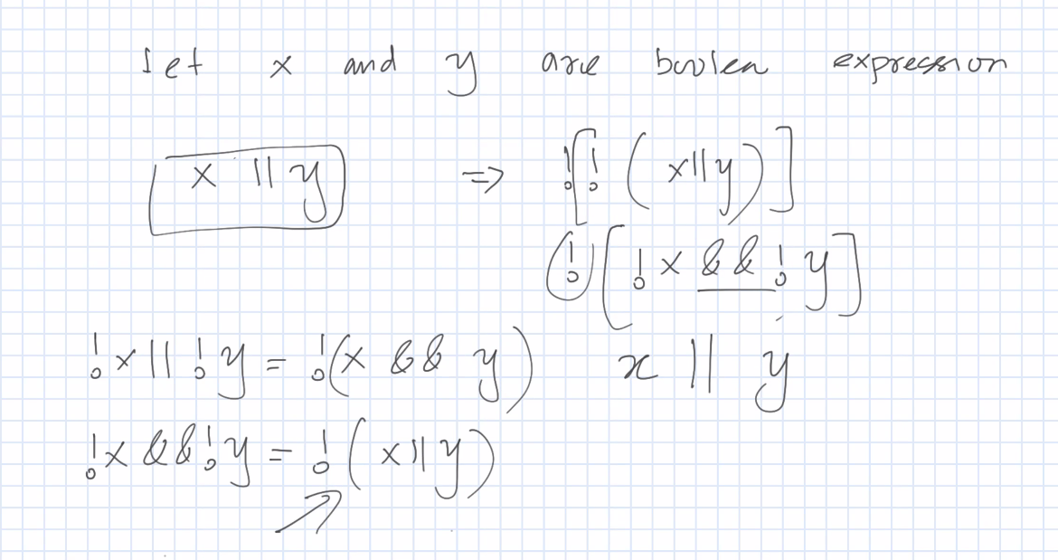
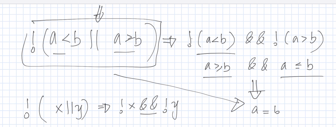
For any comparison between two booleans, you can either pull out !‘s from both, or distribute !‘s from an outside bracket. When distributing/pulling out !‘s, you switch the boolean operation from || to && and vice versa.
- ! (!A && !B) ⇒ A || B
- A && B ⇒ !(!A || !B)
- !A && !B ⇒ !(A || B)
Unrelated
/Images/Pasted-image-20240327145039.png)
&&‘s cannot be split, but ORs can be
/Images/Pasted-image-20240327145055.png)
/Images/Pasted-image-20240220132055.png)
/Images/Pasted-image-20240220133100.png)